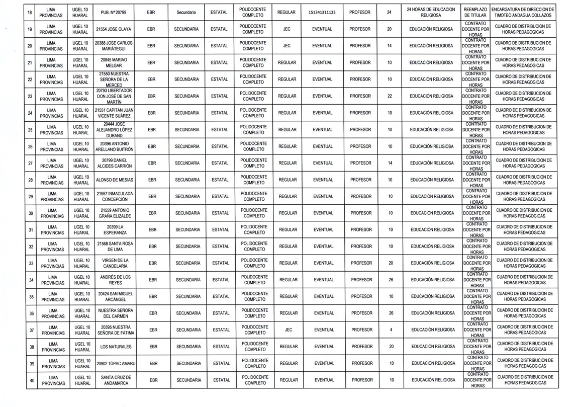
29 Ene,2020 Convocatorias COMMENTS Cronograma y Plazas Vacantes para el Proceso de Contratación Docente 2020 - Fase II